Meluncur Dalam Renang Adalah

Metode Mengajar Renang Dari Sd Sampai Sla

Metode Mengajar Renang Dari Sd Sampai Sla

Renang Gaya Punggung Pengertian Sejarah Teknik Lengkap

Renang Gaya Punggung Pengertian Sejarah Teknik Lengkap

5 Cara Awal Melakukan Olahraga Renang Yang Benar Untuk Para Pemula Bukareview

5 Cara Awal Melakukan Olahraga Renang Yang Benar Untuk Para Pemula Bukareview

Cara Meluncur Dalam Renang

Cara Meluncur Dalam Renang

Page 108 Asyiknya Berolahraga 3

Page 108 Asyiknya Berolahraga 3

Ppt Renang Gaya Bebas Crawl Powerpoint Presentation Free Download Id 3060605

Ppt Renang Gaya Bebas Crawl Powerpoint Presentation Free Download Id 3060605

Teknik Menguasai Gaya Renang Meluncur Bagi Pemula Olahragapedia Com

Teknik Menguasai Gaya Renang Meluncur Bagi Pemula Olahragapedia Com

Jelaskan Cara Melakukan Teknik Meluncur Dalam Renang Gaya Dada Brainly Co Id

Jelaskan Cara Melakukan Teknik Meluncur Dalam Renang Gaya Dada Brainly Co Id

Tugas Renang

Tugas Renang

Start Atau Permulaan Gaya Renang Bebas Dilakukan Dari Atas Kolam Renang

Start Atau Permulaan Gaya Renang Bebas Dilakukan Dari Atas Kolam Renang

Tutorial Berenang Bagian 4 6 Meluncur Youtube

Tutorial Berenang Bagian 4 6 Meluncur Youtube

P R S I P R A B U M U L I H Teknik Dasar Meluncur Dalam Renang Olahraga Renang

P R S I P R A B U M U L I H Teknik Dasar Meluncur Dalam Renang Olahraga Renang

5 Renang Gaya Bebas Yang Mudah Dipelajari Elevenia Blog

5 Renang Gaya Bebas Yang Mudah Dipelajari Elevenia Blog

Teknik Dasar Renang Gaya Dada Pengertian Beserta Manfaatnya

Teknik Dasar Renang Gaya Dada Pengertian Beserta Manfaatnya

Upaya Meningkatkan Gerak Dasar Meluncur Gaya Bebas Dengan Penggunaan Alat Bantu Pelampung Dalam Pembelajaran Renang Siswa Kelas V Sdn 5 Sukaraja Tahun Ajaran 2011 2012

Upaya Meningkatkan Gerak Dasar Meluncur Gaya Bebas Dengan Penggunaan Alat Bantu Pelampung Dalam Pembelajaran Renang Siswa Kelas V Sdn 5 Sukaraja Tahun Ajaran 2011 2012

Page 115 Asyiknya Berolahraga 3

Page 115 Asyiknya Berolahraga 3

4 Teknik Dasar Renang Beserta Gambarnya Dan Macam Macam Gaya

4 Teknik Dasar Renang Beserta Gambarnya Dan Macam Macam Gaya

Renang Gaya Bebas Teknik Dasar Latihan Meluncur Gerakan Kaki Tangan Nafas Dan Koordinasi Gerakan Gaya Bebas

Renang Gaya Bebas Teknik Dasar Latihan Meluncur Gerakan Kaki Tangan Nafas Dan Koordinasi Gerakan Gaya Bebas

Renang Gaya Punggung 7 Teknik Renang Gaya Punggung Lengkap Dengan Gambarnya Penjaskes Co Id

Renang Gaya Punggung 7 Teknik Renang Gaya Punggung Lengkap Dengan Gambarnya Penjaskes Co Id

Teknik Meluncur Lebih Cepat Dalam Renang Sensen Swimming School

Teknik Meluncur Lebih Cepat Dalam Renang Sensen Swimming School

Yuk Cari Tahu Apa 3 Teknik Dasar Berenang Agar Cepat Bisa

Yuk Cari Tahu Apa 3 Teknik Dasar Berenang Agar Cepat Bisa

Macam Macam Gaya Renang Dan Tekniknya Gambar Fungsi Penjelasan

Macam Macam Gaya Renang Dan Tekniknya Gambar Fungsi Penjelasan

5 Teknik Renang Gaya Dada Singkat Yang Benar Gambar Video

5 Teknik Renang Gaya Dada Singkat Yang Benar Gambar Video

Yuk Belajar Meluncur Di Kolam Renang

Yuk Belajar Meluncur Di Kolam Renang

Teknik Dasar Berenang Gerakan Meluncur Blog Seputar Ilmu Olah Raga

Teknik Dasar Berenang Gerakan Meluncur Blog Seputar Ilmu Olah Raga

Teknik Dasar Mengapung Dan Meluncur Renang Gaya Bebas Penjasorkes

Teknik Dasar Mengapung Dan Meluncur Renang Gaya Bebas Penjasorkes

Belajar Renang 2 Meluncur Youtube

Belajar Renang 2 Meluncur Youtube

3 Teknik Dasar Renang Gaya Dada Beserta Tahapannya Penjasorkes

3 Teknik Dasar Renang Gaya Dada Beserta Tahapannya Penjasorkes

Alfin Dki Jakarta Dki Jakarta Menerima Kursus Renang Untuk Pemula Semua Usia Dengan Materi Teknik Pernafasan Teknik Apung Water Trappen Teknik Meluncur Gaya Dada Gaya Bebas Gaya Punggung Gaya Kupu

Alfin Dki Jakarta Dki Jakarta Menerima Kursus Renang Untuk Pemula Semua Usia Dengan Materi Teknik Pernafasan Teknik Apung Water Trappen Teknik Meluncur Gaya Dada Gaya Bebas Gaya Punggung Gaya Kupu

Bab 19 Renang Gaya Bebas

Bab 19 Renang Gaya Bebas

Istri Tinggalkan Mobil Untuk Ambil Uang Mobil Meluncur Kecebur Kolam Anak Dan Suami Kuyup Di Dalam Kabin Gridoto Com

Istri Tinggalkan Mobil Untuk Ambil Uang Mobil Meluncur Kecebur Kolam Anak Dan Suami Kuyup Di Dalam Kabin Gridoto Com

Tahapan Belajar Berenang Gaya Bebas Free Style Halaman All Kompasiana Com

Tahapan Belajar Berenang Gaya Bebas Free Style Halaman All Kompasiana Com

Teknik Meluncur Olahragapedia Com

Teknik Meluncur Olahragapedia Com

5 Teknik Renang Gaya Punggung Gambar Dan Penjelasannya

5 Teknik Renang Gaya Punggung Gambar Dan Penjelasannya

Tahapan Belajar Berenang Gaya Bebas Free Style Halaman All Kompasiana Com

Tahapan Belajar Berenang Gaya Bebas Free Style Halaman All Kompasiana Com

Cara Meluncur Diair Ketika Renang Renang Gaya Katak Youtube

Cara Meluncur Diair Ketika Renang Renang Gaya Katak Youtube

Sebutkan Teknik Meluncur Renang Gaya Bebas Hisham Id

Sebutkan Teknik Meluncur Renang Gaya Bebas Hisham Id

Bab Viii Renang 150 Kelas X Sma Ma Smk Mak Pdf Download Gratis

Bab Viii Renang 150 Kelas X Sma Ma Smk Mak Pdf Download Gratis

Cara Dan Teknik Menguasai Gaya Renang Meluncur Untuk Pemula Penjaskes Co Id

Cara Dan Teknik Menguasai Gaya Renang Meluncur Untuk Pemula Penjaskes Co Id

8 Teknik Renang Gaya Bebas Dan Gambarnya Olahragapedia Com

8 Teknik Renang Gaya Bebas Dan Gambarnya Olahragapedia Com

Sejarah Tolak Peluru Dunia Indonesia Gaya Lengkap

Sejarah Tolak Peluru Dunia Indonesia Gaya Lengkap

7 Dalam Renang

7 Dalam Renang

Teknik Mudah Dasar Renang Terlengkap Penjelasan Dan Manfaat

Teknik Mudah Dasar Renang Terlengkap Penjelasan Dan Manfaat

Teknik Dasar Berenang Mengapung Meluncur Posisi Badan Freedomsiana

Teknik Dasar Berenang Mengapung Meluncur Posisi Badan Freedomsiana

Pelajar Masa Depan Teknik Cara Mengapung Dan Meluncur Dalam Olahraga Renang

Pelajar Masa Depan Teknik Cara Mengapung Dan Meluncur Dalam Olahraga Renang

Http Lib Unnes Ac Id 27108 1 6102914005 Pdf

Http Lib Unnes Ac Id 27108 1 6102914005 Pdf

Cara Mengapung Dan Meluncur Pada Olahraga Renang Permainan Bola Voli

Cara Mengapung Dan Meluncur Pada Olahraga Renang Permainan Bola Voli

Renang Gaya Bebas Crawl Ppt Download

Renang Gaya Bebas Crawl Ppt Download

Doc Gaya Renang Meluncur Bramusti Aji Prabowo Academia Edu

Doc Gaya Renang Meluncur Bramusti Aji Prabowo Academia Edu

Apa Saja Yang Dilakukan Saat Meluncur Di Air Berikan Minimal 5 Jawaban Brainly Co Id

Apa Saja Yang Dilakukan Saat Meluncur Di Air Berikan Minimal 5 Jawaban Brainly Co Id

Apa Yang Dikmaksud Gerak Meluncur Dalam Renang Brainly Co Id

Apa Yang Dikmaksud Gerak Meluncur Dalam Renang Brainly Co Id

Cara Mengapung Dan Meluncur Pada Olahraga Renang Olahraga

Cara Mengapung Dan Meluncur Pada Olahraga Renang Olahraga

Renang Gaya Dada Pengertian Teknik Dasar Sejarah Manfaat

Renang Gaya Dada Pengertian Teknik Dasar Sejarah Manfaat

Tahapan Belajar Berenang Gaya Bebas Free Style Halaman All Kompasiana Com

Tahapan Belajar Berenang Gaya Bebas Free Style Halaman All Kompasiana Com

Https Encrypted Tbn0 Gstatic Com Images Q Tbn 3aand9gcscphaax64ftxm5fbmzoj13 9 D803p Wlk66fq2 Nuswgz1xn2 Usqp Cau

Https Encrypted Tbn0 Gstatic Com Images Q Tbn 3aand9gcscphaax64ftxm5fbmzoj13 9 D803p Wlk66fq2 Nuswgz1xn2 Usqp Cau

Raswin Unimed Modul 2 Pembelajaran Renang Gaya Bebas

Raswin Unimed Modul 2 Pembelajaran Renang Gaya Bebas

Teknik Meluncur Yang Wajib Tahu Bagi Yang Hobi Renang Hobi Masa Kini

Teknik Meluncur Yang Wajib Tahu Bagi Yang Hobi Renang Hobi Masa Kini

Prinsip Berenang Prinsip Psikologis Mengapung Dan Prinsip Meluncur

Prinsip Berenang Prinsip Psikologis Mengapung Dan Prinsip Meluncur

8 Teknik Renang Gaya Bebas Dan Gambarnya Olahragapedia Com

8 Teknik Renang Gaya Bebas Dan Gambarnya Olahragapedia Com

Teknik Dasar Renang Gaya Dada Materi Sekolah

Teknik Dasar Renang Gaya Dada Materi Sekolah

4 Teknik Renang Gaya Bebas Beserta Gambarnya Lengkap

4 Teknik Renang Gaya Bebas Beserta Gambarnya Lengkap

Renang Gaya Dada Pengertian Manfaat Cara Teknik Sejarah

Renang Gaya Dada Pengertian Manfaat Cara Teknik Sejarah

Makalah Olahraga Renang

Makalah Olahraga Renang

5 Teknik Berlatih Renang Gaya Dada Yang Baik Dan Benar Video

5 Teknik Berlatih Renang Gaya Dada Yang Baik Dan Benar Video

3 Teknik Dasar Dalam Berenang Yang Penting Dipelajari

3 Teknik Dasar Dalam Berenang Yang Penting Dipelajari

Teknik Renang Gaya Punggung Beserta Penjelasannya Dan Gambarnya

Teknik Renang Gaya Punggung Beserta Penjelasannya Dan Gambarnya

Teknik Renang Gaya Bebas Yang Mudah Dan Simpel

Teknik Renang Gaya Bebas Yang Mudah Dan Simpel

14 Macam Macam Gaya Renang Terlengkap Teknik Dasar Hobikusport Com

14 Macam Macam Gaya Renang Terlengkap Teknik Dasar Hobikusport Com

Tahapan Belajar Berenang Gaya Bebas Free Style Halaman All Kompasiana Com

Tahapan Belajar Berenang Gaya Bebas Free Style Halaman All Kompasiana Com

Doc Renang Gaya Bebas Daena Aliansyah Academia Edu

Doc Renang Gaya Bebas Daena Aliansyah Academia Edu

Pengertian Renang Gaya Punggung Dan Tekniknya

Pengertian Renang Gaya Punggung Dan Tekniknya

Cara Meluncur Di Air Dengan Benar Sensen Swimming School

Cara Meluncur Di Air Dengan Benar Sensen Swimming School

Belajar Meluncur Di Kolam Dalam Seri Tips Renang Youtube

Belajar Meluncur Di Kolam Dalam Seri Tips Renang Youtube

Teknik Menguasai Gaya Renang Meluncur Bagi Pemula Olahragapedia Com

Teknik Menguasai Gaya Renang Meluncur Bagi Pemula Olahragapedia Com

Apakah Yang Dimaksud Gerakan Meluncur Dalam Olahraga Renang Brainly Co Id

Apakah Yang Dimaksud Gerakan Meluncur Dalam Olahraga Renang Brainly Co Id

Yuk Simak Cara Mudah Dan Cepat Belajar Berenang Berikut Ini

Yuk Simak Cara Mudah Dan Cepat Belajar Berenang Berikut Ini

Renang Gaya Dada Katak Pengertian Teknik Dasar

Renang Gaya Dada Katak Pengertian Teknik Dasar

Belajar Teknik Dasar Renang Gaya Dada

Belajar Teknik Dasar Renang Gaya Dada

Teknik Dasar Meluncur Dalam Renang

Teknik Dasar Meluncur Dalam Renang

Bbc News Indonesia On Twitter Seorang Perenang Meluncur Dengan Cepat Dan Konstan Di Sebuah Kolam Renang Di Pinggiran Kota Solo Sejumlah Pengunjung Yang Baru Datang Seketika Melongo Ketika Perenang Tersebut Beranjak Ke

Bbc News Indonesia On Twitter Seorang Perenang Meluncur Dengan Cepat Dan Konstan Di Sebuah Kolam Renang Di Pinggiran Kota Solo Sejumlah Pengunjung Yang Baru Datang Seketika Melongo Ketika Perenang Tersebut Beranjak Ke

Renang Gaya Bebas Crawl Ppt Download

Renang Gaya Bebas Crawl Ppt Download

Sebutkan Cara Melakukan Gerakan Meluncur Brainly Co Id

Sebutkan Cara Melakukan Gerakan Meluncur Brainly Co Id

Penjasorkes Sd Mi Kelas 4 Pelajaran 10

Penjasorkes Sd Mi Kelas 4 Pelajaran 10

Teknik Dasar Renang Gaya Dada Serta Penjelasan Dan Gambarnya Perpustakaan Id

Teknik Dasar Renang Gaya Dada Serta Penjelasan Dan Gambarnya Perpustakaan Id

Https Encrypted Tbn0 Gstatic Com Images Q Tbn 3aand9gcs37 Ypafwyu6h41xk8jplifrwkmooovaj8y Wzrqmt9hr4cycg Usqp Cau

Https Encrypted Tbn0 Gstatic Com Images Q Tbn 3aand9gcs37 Ypafwyu6h41xk8jplifrwkmooovaj8y Wzrqmt9hr4cycg Usqp Cau

Materi Kelas 3b Selasa 24 Maret 2020

Materi Kelas 3b Selasa 24 Maret 2020

Cara Berenang Gaya Bebas Lengkap Dengan Tekniknya Untuk Pemula Citizen6 Liputan6 Com

Cara Berenang Gaya Bebas Lengkap Dengan Tekniknya Untuk Pemula Citizen6 Liputan6 Com

Cara Meluncur Dalam Gaya Renang Www Noerwilis Com

Cara Meluncur Dalam Gaya Renang Www Noerwilis Com

7 Teknik Renang Gaya Punggung Lengkap Dengan Gambarnya

7 Teknik Renang Gaya Punggung Lengkap Dengan Gambarnya

Mengajar Renang Gaya Bebas Muhammad Iqbal Ikhsani

Mengajar Renang Gaya Bebas Muhammad Iqbal Ikhsani

Ii Tinjauan Pustaka Pendidikan Jasmani Adalah Proses Pendidikan Yang Memanfaatkan Aktivitas Jasmani Yang Pdf Free Download

Ii Tinjauan Pustaka Pendidikan Jasmani Adalah Proses Pendidikan Yang Memanfaatkan Aktivitas Jasmani Yang Pdf Free Download

Renang Gaya Dada

Renang Gaya Dada

Http Rumahbelajar Id Media Dokumen 5cff79ecb646044330d686d4 A111870bef7b573e46b085fd5a578062 Pdf

Http Rumahbelajar Id Media Dokumen 5cff79ecb646044330d686d4 A111870bef7b573e46b085fd5a578062 Pdf

Renang

Renang

8 Teknik Renang Gaya Bebas Dan Gambarnya Olahragapedia Com

8 Teknik Renang Gaya Bebas Dan Gambarnya Olahragapedia Com

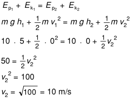
Seorang Anak Dengan Massa 40 Kg Bermain Papan Luncur Di Atas Kolam Renang Dengan Ketinggian 5 M Dari Air Kolam Mas Dayat

Seorang Anak Dengan Massa 40 Kg Bermain Papan Luncur Di Atas Kolam Renang Dengan Ketinggian 5 M Dari Air Kolam Mas Dayat

Doc Teknik Dasar Renang Fajar Hadil Academia Edu

Doc Teknik Dasar Renang Fajar Hadil Academia Edu

Teknik Berenang Gaya Dada Dan 4 Tips Aman Sebelum Berenang

Teknik Berenang Gaya Dada Dan 4 Tips Aman Sebelum Berenang

Pengertian Renang Gaya Dada Dan Teknik Renang Gaya Dada

Pengertian Renang Gaya Dada Dan Teknik Renang Gaya Dada

Renang Dengan Fisika Mungkinkah Poojetz Puji Astuti

Renang Dengan Fisika Mungkinkah Poojetz Puji Astuti

Http Rumahbelajar Id Media Dokumen 5cff79ecb646044330d686d4 A111870bef7b573e46b085fd5a578062 Pdf

Http Rumahbelajar Id Media Dokumen 5cff79ecb646044330d686d4 A111870bef7b573e46b085fd5a578062 Pdf

Materi Renang

Materi Renang